We want to prove that [limx->0 (cos(x)-1)/x = 0], which can be written as:

Since [cos2(x) + sin2(x) = 1], we can write:

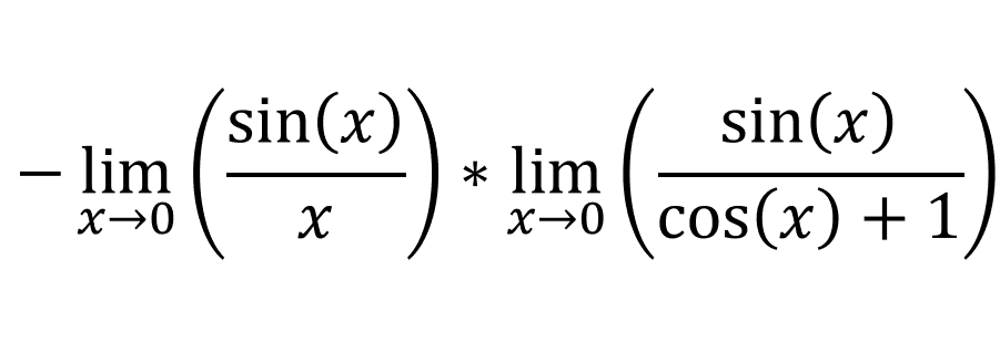
We can then use the product law:

We know that [limx->0 sin(x)/x= 1], if you don't then click here. Evaluating the limits give us:

Which we know is equal to 0. Therefore [limx->0 (cos(x)-1)/x = 0].