This proof requires chain rule and logarithmic derivatives. Lets start by rewriting xn in a different way:

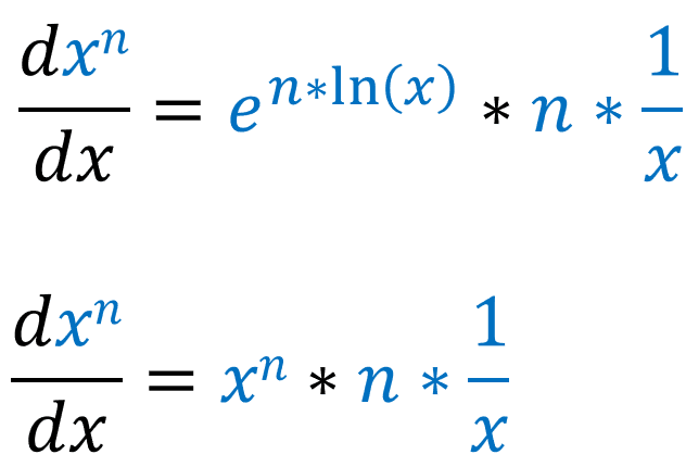
If we derivate both sides:

Now lets simplify the right hand side:

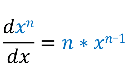
Or:

This proof requires chain rule and logarithmic derivatives. Lets start by rewriting xn in a different way:

If we derivate both sides:

Now lets simplify the right hand side:

Or:
