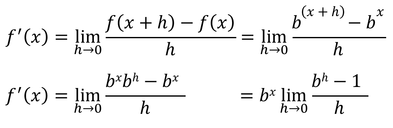
Lets compute the derivative of f(x) = bx, using the definition of derivative:

If we wanted to find the derivative at 0:

Therefore:

The graph below shows \(b^x\) (purple line), with the orange line having the same gradient as \(b^x\) at \(x=0\):

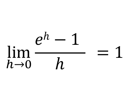
When \(b=1\), the gradient is 0, and it keeps increasing as b increases. There must be some value of b where \(f'(0) = 1\). That value is e. The value of e correct to 3 decimal places is 2.718. The constant e is defined like this:

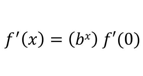
Since f'(x) = bxf'(0):

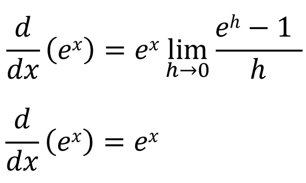
The constant e is a real number where the derivative of ex is ex.