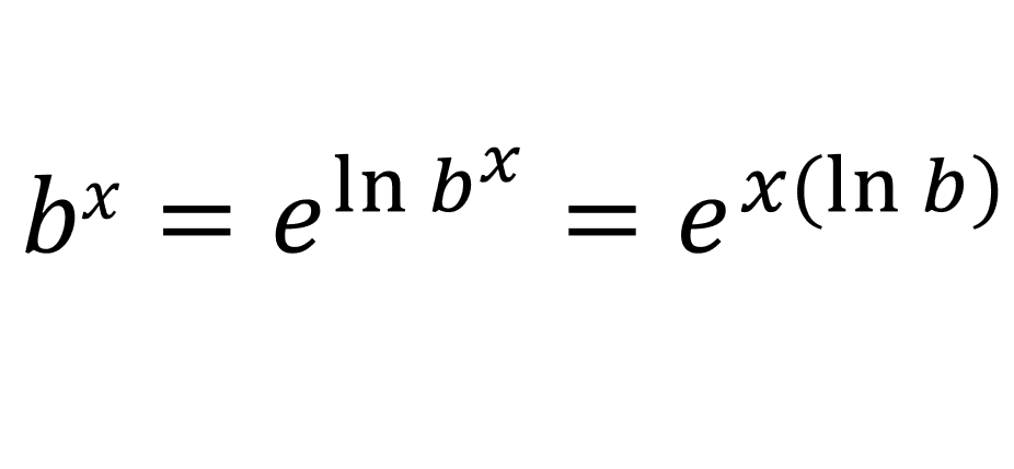
For this proof, it must be clear to you that [d/dx](ex) = ex. Also, bx can be written as:

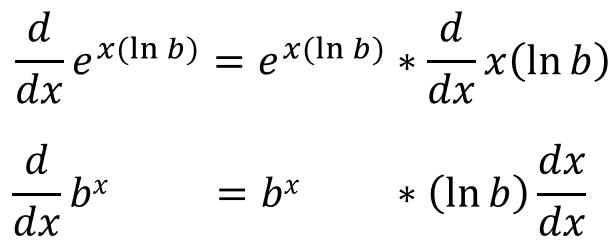
Now lets use the chain rule:

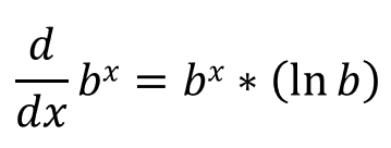
And that completes our proof.

For this proof, it must be clear to you that [d/dx](ex) = ex. Also, bx can be written as:

Now lets use the chain rule:

And that completes our proof.
