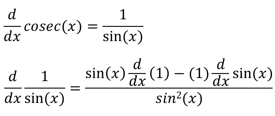
Now lets try to find the derivative of cosec(x). Finding the derivative of cosec(x) is the same as finding the derivative of 1/sin(x):

If we simplify the above equation:

Since cotan(x) = cos(x)/sin(x), we get the derivative as -cosec(x)cotan(x):

Now lets try to find the derivative of cosec(x). Finding the derivative of cosec(x) is the same as finding the derivative of 1/sin(x):

If we simplify the above equation:

Since cotan(x) = cos(x)/sin(x), we get the derivative as -cosec(x)cotan(x):
