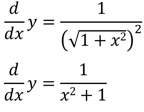
First lets start with a right-angled triangle where one of the angles is y. Lets say the opposite side is of length x and that the adjacent is of length 1:

Using the triangle above, we can say:

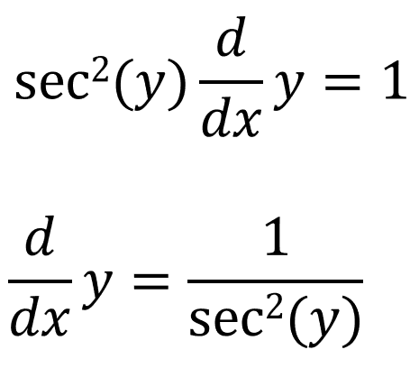
We already know that the derivative of x with respect to x is 1:

Since x = tan(y):

Using the chain rule:

And we already know what sec(y) is equal to:
