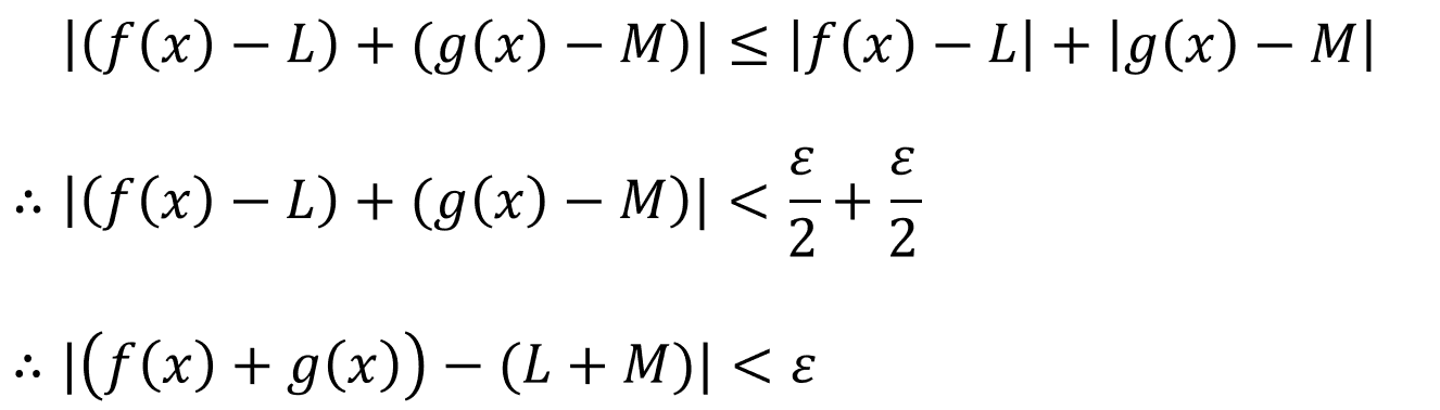
Before starting the proof, you must be familiar with the triangle inequality, which states that:

Now lets say:

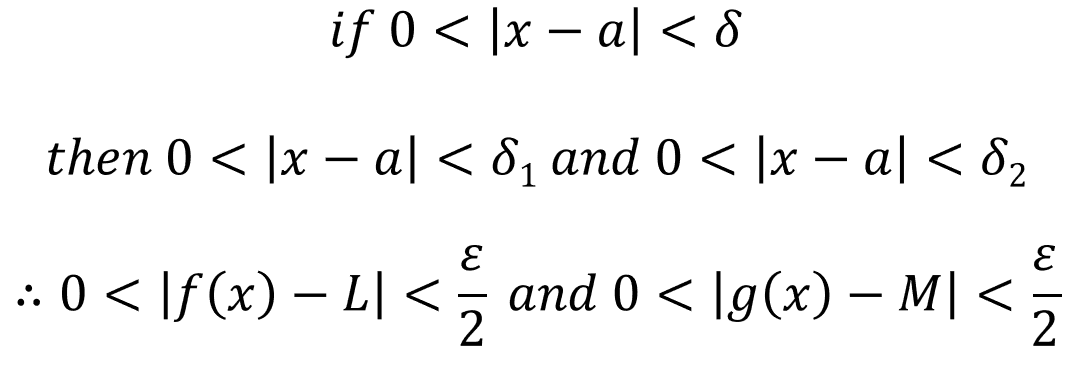
For every number [ε/2 > 0], there is a number [δ1 > 0] and [δ2 > 0] such that:

Lets say [δ = min{δ1,δ2}]:

If we use the triangle inequality, we get:

So it means we concluded that:

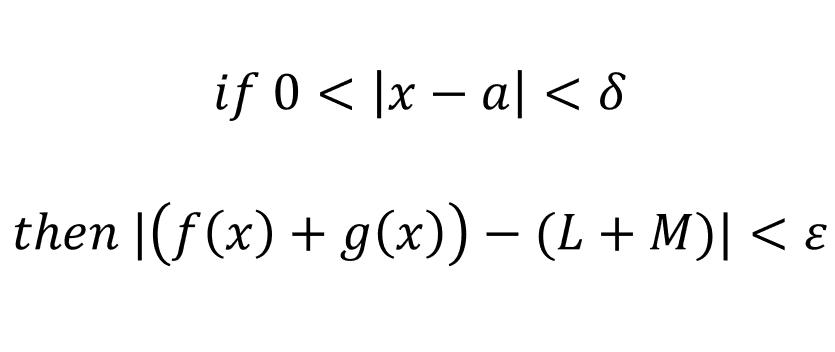
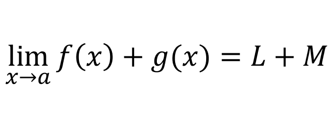
Which basically means:
